Sunday, November 26, 2017
James Campbell's Sting On Corrupt Brooklyn Park Police Chief Craig Enevoldsen & City Manager Jay Stroebel? Campbell Victim Of Social Security Award Letter Scam & Theft Of Checks? Enevoldsen & Stroebel Exposed Trying To Cover Up Federal Crimes? City's Attorneys Kennedy & Gravon Have Well-Documented History Of Advising Clients To Engage In Criminal Misconduct, Don't They? Stroebel & Enevoldsen "Lawyer-Up" After Trying/Failing To Provoke An Incident With Nemmers? Corrupt City Of Brooklyn Park Caught Lurking & Skulking With IP Address 75.146.36.62 ?
Guess who got caught lurking and skulking on Lion News? Did you guess the corrupt City of Brooklyn Park?
Email #1: from: Lion News lionnews00@gmail.com
to: jay.stroebel@brooklynpark.org,
craig.enevoldsen@brooklynpark.org
date: Mon, Oct 30, 2017 at 7:29 PM
subject: Chapter 13 data request - ICR: 2017-00043430 data & Detective Brown data
mailed-by: gmail.com
Jay Stroebel, City Manager 763-493-8002 & Craig Enevoldsen, Police Chief 763-493-830:
Chapter 13 data request please file share me the following readily available, free, electronic public data in the original searchable pdf format:
1. City of Brooklyn Center's Notice to Commissioner of Administration: Adoption of Model Policies https://mn.gov/admin/assets/accesspol-adopt_tcm36-309301.docx
2. work-related continuing education 13.43 Personnel Data for Brooklyn Center' Detective Janese Brown #127 for Years: 2010-2017. https://www.revisor.mn.gov/statutes/?id=13.43
3. Subd. 7. Criminal investigative data. 13.82 Comprehensive Law Enforcement Data for ICR: 2017-00043430 https://www.revisor.mn.gov/statutes/?id=13.82 (Make sure to include all audio statements and transcripts of statements)
Terry Dean, Nemmers (320) 283-5713
I was contacted back by Levine, who stated the following: - he should be filing a claim if he believes there is misconduct in this case, to the Social Security Administration because they have expertise and know what lawyers can and can’t do in these cases. 003-Investigative follow up on 127 10/10/17 ICR: 2017-00043430
http://www.mncma.org/index.asp?SEC=A7C6C622-CE4A-410A-ABDB-9660E23B9807&DE=97C453B1-9E33-446D-851E-E15D76F2F1F0&Type=B_DIR Jay Stroebel * (City of Brooklyn Park) City Manager Phone: 763-493-8002 Email: jay.stroebel@brooklynpark.org Location: 5200 85th Ave N Brooklyn Park, MN 55443
http://www.brooklynpark.org/directory/jay-stroebel/ Jay Stroebel City Manager Phone: 763-493-8002 Department: Administration
http://www.brooklynpark.org/city-government/police/ Police Chief Craig Enevoldsen 763-493-8308 craig.enevoldsen@brooklynpark.org
https://mn.gov/admin/data-practices/data/rules/copy-costs/actual-cost/
https://mn.gov/admin/data-practices/data/rules/copy-costs/
Data Subjects Actual cost Government may charge the actual cost for an employee to make paper copies or to print copies of electronically stored data. Government may not charge a data subject any fee for searching for and retrieving data (Note that the 25 cents per page per 100 copies or fewer does not apply to data subject requesters unless that is the actual cost to make copies.).
https://mn.gov/admin/assets/2017%20Data%20Subject%20Access%20Policy%20for%20Website_tcm36-309297.docx
If we have the data, and the data are public or private data about you, we will respond to your request within 10 business days by doing one of the following: Arrange a date, time, and place to inspect data in our offices, for free, or Provide you with the data within 10 business days. You may choose to pick up your copies, or we will mail or fax them to you. We will provide electronic copies (such as email or CD-ROM) upon request if we keep the data in electronic format. Commissioner of the Dept of Administration's Model Policy for Data Subjects
(e) The responsible authority of a government entity that maintains public government data in a computer storage medium shall provide to any person making a request under this section a copy of any public data contained in that medium, in electronic form, if the government entity can reasonably make the copy or have a copy made. This does not require a government entity to provide the data in an electronic format or program that is different from the format or program in which the data are maintained by the government entity. The entity may require the requesting person to pay the actual cost of providing the copy. 13.03 ACCESS TO GOVERNMENT DATA. Subd. 3. Request for access to data. https://www.revisor.mn.gov/statutes/?id=13.03
Email #2:
from: Lorelei Meyer Lorelei.Meyer@brooklynpark.org
to: Lion News lionnews00@gmail.com
cc: Devin Montero Devin.Montero@brooklynpark.org,
Mark Bruley Mark.Bruley@brooklynpark.org
date: Fri, Nov 3, 2017 at 8:36 AM
subject: RE: Chapter 13 data request - ICR: 2017-00043430 data & Detective Brown data
security: No encryption Learn more
Hello,
I am responding to your data request from Monday, October 30.
· Our data practices policy can be found on our website, please click on the link below:
http://www.brooklynpark.org/city-government/data-practices/
· I have a copy of Det. Brown’s training records and case report #17-043430 and they can be viewed at no cost here at the Police Department. If you wish to receive them electronically, we do require payment in advance. There is a total of 11 pages at .25/page = $2.75 or you may pick up the copies here for the same price.
· We also have a CD that contains an audio file and two documents and we charge a flat rate of $10.00 for the CD including the files on it.
Please let me know how you would like to proceed. Thank you.
Lorelei Meyer
Support Services Manager
Brooklyn Park Police Department
763-493-8205
From: Lion News [mailto:lionnews00@gmail.com]
Sent: Monday, October 30, 2017 7:30 PM
To: Jay Stroebel; Craig Enevoldsen
Subject: Chapter 13 data request - ICR: 2017-00043430 data & Detective Brown data
Email #3:
from: Lion News lionnews00@gmail.com
to: Lorelei Meyer Lorelei.Meyer@brooklynpark.org,
jay.stroebel@brooklynpark.org,
craig.enevoldsen@brooklynpark.org
cc: Devin Montero Devin.Montero@brooklynpark.org,
Mark Bruley Mark.Bruley@brooklynpark.org
date: Fri, Nov 3, 2017 at 11:46 AM
subject: Re: Chapter 13 data request - ICR: 2017-00043430 data & Detective Brown data
mailed-by: gmail.com
Jay Stroebel, City Manager 763-493-8002 & Craig Enevoldsen, Police Chief 763-493-830:
Clarification needed:
1. Is your City of Brooklyn Park's Notice to Commissioner of Administration: Adoption of Model Policies https://mn.gov/admin/assets/accesspol-adopt_tcm36-309301.docx on your website or not?
2. Is the data that you submitted a bill for created data or readily available, free, electronic, public data that is in its original searchable pdf format? Are the files pdf files or scanned pdf files?
3. What is the date, time, and names of the subjects mentioned on the audio? Is it an audio of James Campbell or an audio of attorney Frank Levin?
Terry Dean, Nemmers (320) 283-5713
ORI: MN0270300; County: Hennepin; Agency Type: Law Enforcement; Name: Brooklyn Park Police Dept; Module: DWI; Date Deployed: 12/13/2012; Last Adapter Used: eCharging.
ORI: MN0270300; County: Hennepin; Agency Type: Law Enforcement; Name: Brooklyn Park Police Dept; Module: Incident Referral; Date Deployed: 7/31/2013; Last Adapter Used: HJIP.
BCA Agency Deployment Report
ORI: MN027211A; County: Hennepin; Agency Type: Prosecuting Authority; Name: Brooklyn Park City Attorney; Module: Complaint; Date Deployed: 6/22/2012; Last Adapter Used: eCharging. BCA Agency Deployment Report
Officers conducting all criminal investigations will, whenever possible, record oral victim and witness statements in lieu of written statements. Statement evidence obtained during an initial investigation can be very powerful evidence in determining the course of an investigation; ultimately impacting charging decisions and convictions. Policy 325 Preliminary Investigation/Required Reports Duluth Police Department Policy Manual http://www.duluthmn.gov/media/304979/_duluth_pd_policy_manual.pdf
The Data Practices Act does not require us to create or collect new data in response to a data request, or to provide data in a specific form or arrangement if we do not keep the data in that form or arrangement. ... If you do not understand some of the data (technical terminology, abbreviations, or acronyms), please tell the person who provided the data to you. We will give you an explanation if you ask. Commissioner of the Dept of Administration Model Policy Data Practices Policy: Requests for Data About You and Your Rights as a Data Subject Minnesota Statutes, sections 13.025 and 13.03 (2016) requires this policy. https://mn.gov/admin/assets/2017%20Data%20Subject%20Access%20Policy%20for%20Website_tcm36-309297.docx
PDF A file format that provides an electronic image of text that looks like a printed document, which can be viewed, printed, and electronically transmitted.
Scanned PDF A file created by scanning a paper original and saving it in the “.pdf” file format. eFS Terms and Definitions Page 3 Rev. 4/6/2016 eFS Terms and Definitions Page 3 Rev. 4/6/2016 Glossary eFile and eServe (eFS) Terms and Definitions skills, tools, and knowledge on our way to a paperless court eCourtMN Minnesota Judicial Branch http://www.mncourts.gov/mncourtsgov/media/scao_library/documents/eFile%20Support/Glossary-eFS-Terms-and-Definitions-Public.pdf
Email #4:
from: Lorelei Meyer Lorelei.Meyer@brooklynpark.org
to: Lion News lionnews00@gmail.com
cc: Devin Montero Devin.Montero@brooklynpark.org,
Lorelei Meyer Lorelei.Meyer@brooklynpark.org
date: Fri, Nov 3, 2017 at 2:28 PM
subject: RE: Chapter 13 data request - ICR: 2017-00043430 data & Detective Brown data
security: No encryption Learn more
Mr. Nemmers,
1. We did not adopt the Department of Administration’s model policies, we have adopted our own policy which is on our website for the public to view at any time.
Please click on link to view: http://www.brooklynpark.org/city-government/data-practices/
2. The data you are requesting is not created data. The case file and training records are .pdf files. If we release the electronic data and are requesting payment, we are following MN Statute 13.03 Subd. 3b:
· (b) For purposes of this section, "inspection" includes, but is not limited to, the visual inspection of paper and similar types of government data. Inspection does not include printing copies by the government entity, unless printing a copy is the only method to provide for inspection of the data. In the case of data stored in electronic form and made available in electronic form on a remote access basis to the public by the government entity, inspection includes remote access to the data by the public and the ability to print copies of or download the data on the public's own computer equipment. Nothing in this section prohibits a government entity from charging a reasonable fee for remote access to data under a specific statutory grant of authority. A government entity may charge a fee for remote access to data where either the data or the access is enhanced at the request of the person seeking access.
3. The audio file is of Frank Levin and Det. Janese Brown and was uploaded into our document imaging system on October 18, 2017.
Please let me know if you have any other questions. Thank you.
Lorelei Meyer
Support Services Manager
Brooklyn Park Police Department
763-493-8205
lorelei.meyer@brooklynpark.org
From: Lion News [mailto:lionnews00@gmail.com]
Sent: Friday, November 03, 2017 11:47 AM
To: Lorelei Meyer; Jay Stroebel; Craig Enevoldsen
Cc: Devin Montero; Mark Bruley
Subject: Re: Chapter 13 data request - ICR: 2017-00043430 data & Detective Brown data
Email # 5:
from: Lion News lionnews00@gmail.com
to: Lorelei Meyer Lorelei.Meyer@brooklynpark.org,
jay.stroebel@brooklynpark.org,
craig.enevoldsen@brooklynpark.org
cc: Devin Montero Devin.Montero@brooklynpark.org
date: Sat, Nov 4, 2017 at 6:39 AM
subject: Re: Chapter 13 data request - ICR: 2017-00043430 data & Detective Brown data
mailed-by: gmail.com
Jay Stroebel, City Manager 763-493-8002 & Craig Enevoldsen, Police Chief 763-493-830:
Clarification needed:
1. Please define your confusing technical terms: "Page" and "Copy" How many bytes = 1 billable page? Did I ask for data or a copy? Did I ask for data or a page?
2. What is the actual cost of your "CD"?
3. What is the name of your file share software? You know the software that you use for the "electronic transmittals of data." Could you provide me with electronic transmittal fee from your EXHIBIT G COST CALCULATION FORM CHARGES.
4. Is the audio file of Frank Levin and Det. Janese Brown that was uploaded into your document imaging system on October 18, 2017 in the original DSS format or did your convert it to mp3 format or some other format?
5. Is your Brooklyn Park data retention schedule on your website or not? Why? It would appear that some data from ICR: 2017-00043430 is missing, wouldn't it? Where is the missing data? Is your data retention data readily available, free, electronic, public and in the original searchable pdf format or not?
6. Is your Brooklyn Park police department policy and procedure data readily available, free, electronic, public and in the original searchable pdf format or not?
7. What would be the actual cost to James Campbell for his subject data for ICR: 2017-00043430 and the missing ICR: 2017-00043430 data if requested it to be placed onto a CD?
Terry Dean, Nemmers (320) 283-5713
DSS File Extension File Type 1Digital Speech Standard File. What is a DSS file? Audio file saved by a digital voice recorder or speech recognition program; stores voice audio data in a highly-compressed format; can be written in insert or overwrite mode; commonly used for professional transcript environments, such as law firms. https://fileinfo.com/extension/dss
13.03 ACCESS TO GOVERNMENT DATA. Subdivision 1. Public data. The responsible authority in every government entity shall keep records containing government data in such an arrangement and condition as to make them easily accessible for convenient use. ... Subd. 3. Request for access to data. (c) ... If a person requests copies or electronic transmittal of the data to the person,... https://www.revisor.mn.gov/statutes/?id=13.03
https://mn.gov/admin/data-practices/data/rules/copy-costs/actual-cost/
Actual Cost These can be included Cost of media (paper, CD ROMs, DVDs, etc.)
https://mn.gov/admin/data-practices/data/rules/copy-costs/
Data Subjects Actual cost Government may charge the actual cost for an employee to make paper copies or to print copies of electronically stored data. Government may not charge a data subject any fee for searching for and retrieving data (Note that the 25 cents per page per 100 copies or fewer does not apply to data subject requesters unless that is the actual cost to make copies.).
FEE SCHEDULE Licenses, Permits, Miscellaneous Services Miscellaneous Services City of Brooklyn Center Copy Charges for Public Government Data Request s Not From the Data Subject 100 Pages or Fewer Black and White Photocopies 8.5 x11 or 8.5x14 Two -Sided Copy (8.5 x 11 or 8.5 x 14) All Other Public Government Data Requests The City will charge the requester actual costs of searching for and retrieving the data, including the cost of employee time, and for making, certifying, compiling, and transmitting copies of the data or the data themselves Exception: There will be no charge s for searching, retrieving, compiling, and electronically transmitting readily available data. http://www.cityofbrooklyncenter.org/DocumentCenter/Home/View/96
Jay Stroebel, the City of Brooklyn Park City Manager, is the city’s Responsible Authority under the Act. Pursuant to the Act, the Responsible Authority is a person who is accountable for the collection, use and dissemination of any records held by the governmental entity. Mr. Stroebel has appointed representatives (Designees) in each city department to help implement the Act. Questions regarding access to documents should be directed to the Designee on the last page of this document. ... Copies and electronic transmittals of data ... PROCEDURES TO ACCESS GOVERNMENT DATA FROM THE CITY OF BROOKLYN PARK PUBLIC DOCUMENT July 2017 http://www.brooklynpark.org/file.aspx?DocumentId=5442
Billable pages for docket reports, case reports, and search results are calculated using a formula based on the number of bytes extracted (4,320 bytes = 1 billable page). Images PACER websites offer images of documents filed. Images are billed according to the number of pages in PDFs (1 PDF page = 1 billable page). Public Access to Court Electronic Records PACER User Manual for ECF Courts Updated: September 2014 http://www.pacer.gov https://www.pacer.gov/documents/pacermanual.pdf
Email #7:
from: Lorelei Meyer Lorelei.Meyer@brooklynpark.org
to: Lion News lionnews00@gmail.com,
Jay Stroebel Jay.Stroebel@brooklynpark.org,
Craig Enevoldsen Craig.Enevoldsen@brooklynpark.org
cc: Devin Montero Devin.Montero@brooklynpark.org
date: Mon, Nov 6, 2017 at 2:43 PM
subject: RE: Chapter 13 data request - ICR: 2017-00043430 data & Detective Brown data
security: No encryption Learn more
Dear Mr. Nemmers,
Please see my responses below to your most recent questions in green:
1. Please define your confusing technical terms: "Page" and "Copy" How many bytes = 1 billable page? Did I ask for data or a copy? Did I ask for data or a page?
· The information/data that you are requesting contains 11 pages of information/data and we charge .25 per page, therefore the final cost for this information is $2.75 whether or not it is electronic or paper. If the information/data leaves our department, we charge for the information.
2. What is the actual cost of your "CD"?
· Our standard cost for providing a CD is $10. The data that is contained on the CD are photographs taken by an officer. In Exhibit G, the line item that states Photographs = $10 per request plus actual cost which is the cost for the CD.
3. What is the name of your file share software? You know the software that you use for the "electronic transmittals of data." Could you provide me with electronic transmittal fee from your EXHIBIT G COST CALCULATION FORM CHARGES.
· We do not own file share software. If you wish, we can electronically copy the .pdf files onto the CD and charge a flat rate of $10 for all of the information/data you have requested. Please let me know how you wish to proceed.
4. Is the audio file of Frank Levin and Det. Janese Brown that was uploaded into your document imaging system on October 18, 2017 in the original DSS format or did your convert it to mp3 format or some other format?
· We converted the file to a .WAV format as our document imaging requires this format and that is where we store all of our audio files.
5. Is your Brooklyn Park data retention schedule on your website or not?
· The City follows the State of Minnesota General Records Retention Schedule for Minnesota Cities. Please see link below for your review:
i. http://www.mcfoa.org/vertical/sites/%7B067FFB58-E3CD-42BA-9FB1-11EFC7933168%7D/uploads/Retention_Schedule_2017_FINAL.pdf
6. Why? It would appear that some data from ICR: 2017-00043430 is missing, wouldn't it? Where is the missing data? Is your data retention data readily available, free, electronic, public and in the original searchable pdf format or not?
i. I am unclear as to what you are asking related to missing data. The data that we have available for you to view is what we have for the case file 17-043430 that is public and accessible to the public.
7. Is your Brooklyn Park police department policy and procedure data readily available, free, electronic, public and in the original searchable pdf format or not?
· The information/data you are requesting is readily available for you to view at no cost in a paper format. If you wish to receive the information/data, we charge for it.
8. What would be the actual cost to James Campbell for his subject data for ICR: 2017-00043430 and the missing ICR: 2017-00043430 data if requested it to be placed onto a CD?
· The cost to the subject of the data would be the same as what we are quoting the public to have the data. Again, if anyone wishes only view the information/data, there would be no cost. If we place all of the data onto a CD, we would charge a flat rate of $10.
Thank you.
Lorelei Meyer
Support Services Manager
Brooklyn Park Police Department
763-493-8205
lorelei.meyer@brooklynpark.org
Lorelei Meyer
Support Services Manager
Brooklyn Park Police Department
763-493-8205
lorelei.meyer@brooklynpark.org
From: Lion News [mailto:lionnews00@gmail.com]
Sent: Saturday, November 04, 2017 6:40 AM
To: Lorelei Meyer; Jay Stroebel; Craig Enevoldsen
Cc: Devin Montero
Email #8:
from: Lion News lionnews00@gmail.com
to: Lorelei Meyer Lorelei.Meyer@brooklynpark.org
cc: Jay Stroebel Jay.Stroebel@brooklynpark.org,
Craig Enevoldsen Craig.Enevoldsen@brooklynpark.org,
Devin Montero Devin.Montero@brooklynpark.org
date: Mon, Nov 6, 2017 at 3:28 PM
subject: Re: Chapter 13 data request - ICR: 2017-00043430 data & Detective Brown data
mailed-by: gmail.com
Jay Stroebel, City Manager 763-493-8002 &Craig Enevoldsen, Police Chief 763-493-8308:
1. Clarification: What are the sizes of each individual data file in bytes of the 13.82 data?
2. Clarification: Do you have an itemized statement in your possession for the purchase of your Brooklyn Park CDs? Are those itemized statements for CDs online or not?
3. Clarification: So you admit the original data file for the wav file is DSS format? Why would you give me a wav file when I want the original DSS file?
4. Clarification: So you are admitting that you actually don't have a Brooklyn park data retention schedule? What is the size of your borrowed data retension file in bytes?
5. Clarification: Why do I have in my possession a preliminary audio recording with the James Campbell and the Brooklyn park Police and you don't? Hmm? Inquiring minds want to know, don't they? Where are the rest of the audios?
6. Clarification: What is the size of your BPD policy and procedure manual in bytes?
Chapter 13 data request - Chapter 13 data request please file share me the following readily available, free, electronic public data in the original searchable pdf format:
1. Name and contact information of the Brooklyn Park City Attorney who helped Officer B. Schmidtt, Badge #256 and Brooklyn Park Detective Janese Brown #127 decipher James Campbell's legal papers that were presented as evidence in ICR: 2017-00043430.
2. Job descriptions for Officer B. Schmidtt, Badge #256 and Brooklyn Park Detective Janese Brown #127
3. A complaint form to file a complaint against an BPD officer. Or is a there a fee for the complaint form, also? https://www.revisor.mn.gov/statutes/?id=626.89 https://www.revisor.mn.gov/statutes/?id=626.89&format=pdf
Terry Dean, Nemmers (320) 283-5713
13.09 PENALTIES. (a) Any person who willfully violates the provisions of this chapter or any rules adopted under this chapter or whose conduct constitutes the knowing unauthorized acquisition of not public data, as defined in section 13.055, subdivision 1, is guilty of a misdemeanor. (b) Willful violation of this chapter, including any action subject to a criminal penalty under paragraph (a), by any public employee constitutes just cause for suspension without pay or dismissal of the public employee. https://www.revisor.mn.gov/statutes/?id=13.09
I informed Campbell that this type of incident was over my head and might be a matter for a federal investigation if it involves Social Security. 003-Investigative follow up on 127 10/10/17 ICR: 2017-00043430
State of Minnesota POSITION DESCRIPTION A CLASSIFICATION TITLE State Trooper Principal Responsibilities, Tasks, and Performance Indicators C. Interrogate, interview, and take statements from suspects, witnesses, and others involved in crimes, accidents, and incidents. D. Identify, gather, preserve, and process evidence obtained at crime and accident scenes.
Email #9:
from: Lorelei Meyer Lorelei.Meyer@brooklynpark.org
to: Lion News lionnews00@gmail.com
cc: Jay Stroebel Jay.Stroebel@brooklynpark.org,
Craig Enevoldsen Craig.Enevoldsen@brooklynpark.org,
Devin Montero Devin.Montero@brooklynpark.org
date: Mon, Nov 6, 2017 at 3:53 PM
subject: RE: Chapter 13 data request - ICR: 2017-00043430 data & Detective Brown data
security: No encryption Learn more
Dear Mr. Demmers,
Please let me know if you wish to obtain the information/data that you have originally requested from your email on October 30. I’d be happy to assist you with that.
Thank you.
Lorelei Meyer
Support Services Manager
Brooklyn Park Police Department
763-493-8205
lorelei.meyer@brooklynpark.org
cid:image002.png@01D03C9B.270C9D80 cid:image010.png@01D005B3.7584B2A0 cid:image011.png@01D005B3.7584B2A0 cid:image012.jpg@01D005B3.7584B2A0
From: Lion News [mailto:lionnews00@gmail.com]
Sent: Monday, November 06, 2017 3:29 PM
To: Lorelei Meyer
Cc: Jay Stroebel; Craig Enevoldsen; Devin Montero
Email #10:
from: Lion News lionnews00@gmail.com
to: Lorelei Meyer Lorelei.Meyer@brooklynpark.org
cc: Jay Stroebel Jay.Stroebel@brooklynpark.org,
Craig Enevoldsen Craig.Enevoldsen@brooklynpark.org,
Devin Montero Devin.Montero@brooklynpark.org
date: Mon, Nov 6, 2017 at 4:21 PM
subject: Re: Chapter 13 data request - ICR: 2017-00043430 data & Detective Brown data
mailed-by: gmail.com
Jay Stroebel, City Manager 763-493-8002 &Craig Enevoldsen, Police Chief 763-493-8308:
When am you going to email me my requested data? Where is the missing data? Why are to trying to provoke in incident by calling me "Mr. Demmers"?
Terry Dean, Nemmers (320) 283-5713
b) No peace officer shall ridicule, mock, deride, taunt, belittle, willfully embarrass, humiliate, or shame any person to do anything reasonably calculated to incite a person to violence. E. PRINCIPLE FIVE Peace officers shall treat all members of the public courteously and with respect. PROFESSIONAL CONDUCT OF PEACE OFFICERS MODEL POLICY MN STAT 626.8457
More to come. . .
Related Links:
Special Treatment For City Of Crystal's City Council Member Jeff Kolb's Private "Public Works Birthday" Package? Inquiring Minds Want To Know, Don't They? Does Kolb Treat Public Property Like It Is His Personal Property? Inquiring Minds Really Want To Know, Don't They? Public Works Director/City Engineer Mark Ray Retaliates Against Whistleblower Nemmers? No Surprise, Right? City of Crystal Council Member Jeff "Special Treatment/Abuse of Power" Kolb Sends Nemmers A Harassing & Threatening Email? Again, No Surprise, Right? Kolb Feels It's Good To Be The King, Doesn't He? (King Of Corruption, Right?) Elizabeth Dahl, Ward 1 612-567-3353 & Olga Parsons Section II (Wards 3 & 4) 612-217-2337 Notified Of Complaint Against King Kolb?
Corrupt Dodge Co Sheriff Scott Rose & Corrupt Dodge Co Attorney Paul Kiltinen Try/Fail To Cover Up Rigged Investigation Into Kenyon Police Chief Lee "Kenyon's Asshole Cop" Sjolander? Sjolander Attempts To Intimidate Victim Joshua Samuel Fischer After Nemmers Disproves Rose's Wild & Outrageous Claims Of No Investigation Against Sjolander? Corrupt Dodge Co Has A Well-Documented History Of Covering Up Criminal Misconduct, Don't They? Rose Willfully Refuses To Take Statements From Sjolander's Other Victims Dick Thissen & Nemmers?
You Should Beware Of Minnesota Cop Block (Cop Flop, Right?) Endorsements Of Corrupt Cops, Shouldn't You? Non-Transparent Idiot Andrew "Buttinski" Henderson Makes Wild & Outrageous Claim That Kenyon Police Chief Lee "Kenyon's Asshole Cop" Sjolander (Wannabe Mayberry Sheriff Andy Taylor Who Acts Like Larry "Lonesome" Rhodes, Right?) Is A "Good Cop"? Unaccountable "Buttinski" Henderson's Puff Piece Proves Andy Has Small Brains & Big Stupid Mouth? Sjolander Dupes Dope Henderson With Flattery?
Kenyon Police Chief Lee "Kenyon's Asshole Cop" Sjolander (Wannabe Mayberry Sheriff Andy Taylor Who Acts Like Larry "Lonesome" Rhodes, Right?) Now Posting & Playing On Facebook Anonymously? "Kenyon's Asshole Cop" Sjolander Still "Lawyered-Up" & Still Illegally Withholding My Free Electronic Public Data? Still No Phone Calls From Either Officer Amy Reding Or City Attorney Scott Riggs? They're Still "Lawyered-Up," Aren't They? 08-19-15 Update: Bookkeeper Sue Dodds Doesn't Hang Up On Me, Does She? Kenyon Police Chief Lee "Kenyon's Asshole Cop" Sjolander Is Still "Lawyered-Up" & Still Illegally Withholding Free Electronic Public Data, Isn't He? He is, Isn't He?
Kenyon Police Chief Lee "Kenyon's Asshole Cop" Sjolander (Wannabe Mayberry Sheriff Andy Taylor Who Acts Like Larry "Lonesome" Rhodes, Right?) Still Playing On Facebook Instead Of Emailing Me My Free Electronic Public Data? My Recorded Phone Call To Kenyon Leader? City Of Kenyon's Law Firm For City Attorney Kennedy & Gravon Has A History Of Illegally Withholding Free Electronic Public Data For Sick Rick Lahn Former Superintendent Of ISD 209 Alexandria School District, Don't They? Neither Officer Amy Reding Nor City Attorney Scott Riggs Return My Phone Calls? They've All "Lawyered Up", Haven't They? How Can Editor Anderson Be Trusted To Expose Local Corruption When He Can't Even Update His Contact Info On His Own Website?
Kenyon Police Chief Lee "Kenyon's Asshole Cop" Sjolander (Wannabe Mayberry Sheriff Andy Taylor, Right?) Harasses Nemmers & Hangs Up Phone Over Illegally Withheld Free Electronic Public Data? Sjolander Too Busy Playing On Facebook To Do Job? Sjolander's Petty Little Feelings Hurt? Sjolander Upset Since Nemmers Made Comment About Sjolander's Email Address & Cell Phone Number On Facebook But Not City's Website? Or Is It Nemmers Proved Sjolander Lazy, Corrupt, Boogie Man & Asshole Cop? City Administrator Mark Vahlsing Hangs Up After Asking If Nemmers Is Recording Call? City Of Kenyon More Like Lawless Shit-hole Than Mayberry?
"Sick Rick" Lahn, Supt. Nashwauk-Keewatin School District Caught Harassing Nemmers On The Phone Again? Morris Area School District's Diane Moeller Sends Nemmers Harassing Emails? Is School Attorney Michael Rengel Advising Lahn & Moeller To Make Harassing Phones Calls & Send Harassing Emails To Nemmers? Lahn & Moeller Both Illegally Withholding Affidaivt Of Candidacy (Free Electronic Public Data, Right?) From Nemmers? School Board Members Not Paying Fees? False Info On School Affidavit? No Surprise, Right?
Stillwater School District ISD# 834 Searching Lion News For Dirt On Sick Rick Lahn, Superintendent & Common Criminal, Aren't They? Actaully, ISD# 834 Is Trying To Ignore It As Hard As They Can, Aren't They? Hibbing School Lurking & Skulking? Thomas Lehmann, City Attorney ( Mendota & Lilydale ) / ISD# 834 School Board Chair (651-351-2133) Sends Harassing Email & Hangs Up On Nemmers? Lehmann Trying To Rig Superintendent Selection For "Sick" Rick Lahn? Update: Guilty Conscience Brings Board Member Stan Wulf Back Over And Over Again To Lion News?
Sick Rick Lahn District 206 Superintendent & Harrassing Phone Caller Forced To Resign? Nemmers Predicted The Resignation, Didn't He? The Final Virtual Kick In The Nuts For Sicko Lahn, Right?
District 206 School's Dirty Little Secrets? Amy Sack, Assistant Principal Forced To Resign Effective August 1, 2014? (Resignation In Lieu Of Prosecution, Right??) Superintendent Sick Rick Lahn's So-Called Personal Leave Prelude To Resignation? (Resignation In Lieu Of Prosecution, Right??) Lahn's & Sack's Criminal Acts Of Illegal Searches, Harassment, And Illegally Withheld/Destroyed Evidence The Cause? Another Virtual Kick In The Nuts For Sicko Lahn, Right?
Sick Rick Lahn District 206 Superintendent, The Harassing Phone Caller, Gets Reported To Dept. Of Education? Commissioner Cassellius Given Evidence Principal Sack Destroyed Surveillance Video Of Illegal Search Of Student Greg Brunner's Vehicle? Lahn's Virtual Kick In The Nuts, Right?
Douglas County Parents: Are Your Children Safe? District 206 Students Interrogated? Another Facebook Fiasco In The Works? Nemmers Victim Of District's Harassing Phone Calls, Third Degree, And Diabolical Data Dodging Scam? School Indoctrinates Students Into Thinking That Administration And District's Legal Counsel Are About The Law?
Thursday, November 23, 2017
Paul Dorr Related Data Coughed Up By Corrupt Brandon-Evansville ISD #2908 Dean Yocum, Superintendent/Elementary Principal After Nemmers' Phone Call? Nemmers Said Next Step Was Filling Complaint With Sheriff, Right? Corrupt ISD 2908 Board Chair David Anderson Forced To Apologize To Nemmers? Anderson Recorded Making Malicious False Accusations Of Harassment? Anderson Retaliated Because Nemmers Figured Out Not All Dorr Data & Requested Data Provided By Yocum? FYI Lesage Didn't Want To Share The Paul Dorr Data, Did He?
October 10, 217 data request:
https://twitter.com/Lion__News/status/933122779964043265 Lion News @Lion__News 11-21-17 phone call to corrupt Brandon-Evansville School District Dean Yocum, Superintendent/Elementary Principal 320-524-2263 ext 6107 & Yocum coughs up illegally withheld data? Yocum informed that Douglas sheriff Wolberson would be notified next, right? http://www.echopress.com/news/government-and-politics/4317286-outsiders-weigh-b-e-school-vote 3:59 PM - 21 Nov 2017
https://twitter.com/Lion__News/status/933735974567161856 Lion News @Lion__News Thanksgiving Day surprise to corrupt ISD 2908 Board Chair David Anderson? Anderson was forced to apologize in an 11/23 recorded phone conversation, wasn't he? False accusations of harassment & justifications for criminal misconduct are not tolerated right? https://www.b-e.k12.mn.us/domain/30 8:36 AM - 23 Nov 2017
https://twitter.com/Lion__News/status/934048197554577408 Lion News @Lion__News Thanksgiving Day surprise to corrupt ISD 2908 Board vice Chair Tim Lauthen? Tim Lauthen decides to send a variety of harassing texts despite being to told to cease & desist? Suddenly stops after told calls to Anderson & B-E CARE Committee leader recorded? https://www.b-e.k12.mn.us/domain/30 5:16 AM - 24 Nov 2017
https://twitter.com/Lion__News/status/934082123908055040 Lion News @Lion__News Don Lesage Commentary: Why did 'vote no' school group hire consultant? FYI: Did you know that I asked Lesage (recorded) multiple times to send me the requested Paul Dorr info? What I did get was lousy excuses, wasn't it? Lesage only looks out for #1 right? http://www.echopress.com/opinion/commentaries/4317705-commentary-why-did-vote-no-school-group-hire-consultant 7:31 AM - 24 Nov 2017
from: Lion News lionnews00@gmail.com
to: dyocum@b-e.k12.mn.us,
danderson@b-e.k12.mn.us,
tlauthen@b-e.k12.mn.us
date: Mon, Oct 16, 2017 at 4:26 PM
subject: Chapter 13 data request - Paul Dorr's data requested & data requests for B-E CARE Committee (Citizens Acting for Responsible Education)
mailed-by: gmail.com
Dean Yocum, Superintendent/Elementary Principal 320-524-2263 ext. 8107
Chapter 13 data request - Please email/file share me the following readily available, free, electronic, public data:
1. Brandon-Evansville ISD #2908 current affidavits of candidacy for current sitting board members
2. Brandon-Evansville ISD #2908 signed contract with Warren Schmidt and payments for Warren Schmidt
3. Brandon-Evansville ISD #2908 costs and expenses for Schmidt's “Yes” Committee, phone surveys, informational publications, contracts & costs of attorney and bond attorney, contractors, and financial consultants. Total and Itemized costs for Schmidt's "project."
4. Paul Dorr's data requested & data requests for B-E CARE Committee (Citizens Acting for Responsible Education)
Terry Dean, Nemmers (320) 283-5713
P.S. Since the readily available, free, electronic, public data has already been collected, previously distributed and readily for inspection for your failed referendum, then all you need to do is just attach it to a reply email to me, correct?
School Board Minutes: Independent School District #2908 School Board Facility Workshop 5:30 pm, January 23, 2017 Evansville Senior Center. The school board met for a facility workshop to discuss District options moving forward: Continue with RA Morton Meet and interview other companies Contact Warren Schmidt ... The consensus of the board was to contact Warren Schmidt to meet with the board. It was discussed the board believes he charges a flat rate per day for his services.
School Board Minutes: Independent School District #2908 School Board Facility Workshop 5:30 pm, February 6, 2017 Evansville Senior Center Schmidt handed out a brief description of the steps required to bring a bond referendum to a vote. Prior to that process he mentioned several discussions and actions needed, including: Forming “Yes” Committee to do phone surveys, informational publications, speak to various organizations Hire attorney and bond attorney, contractors, and financial consultant Determine square footage needed Conduct Review and Comment with commissioner of education. ... The consensus of the board was for Yocum to meet with Schmidt regarding contracting his services and bring that information to the next school board meeting.
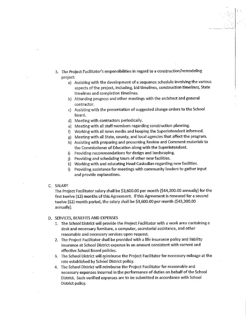
School Board Minutes: Independent School District #2908 6:00 pm, February 13, 2017 Evansville Senior Center Moved by Huisman, seconded by Siira to hire Warren Schmidt, project facilitator. Motion carried unanimous
School Board Minutes: Independent School District #2908 6:00 pm, March 20, 2017 Evansville Senior Center Discussion Items: Warren Schmidt gave synopsis of meetings he has had with a demolition company, City of Brandon, MDE, Comstock, and City of Evansville. Board discussed the BEEA letter of intent to negotiate.
Warren Schmidt informed the board that the vote can no longer be stopped. We are waiting for the Review and Comment from MDE and will have more communication with the public once that is received. The architect has not been available. The staff toured Rothsay and will possibly tour Lake Park. One of the next decisions to be made will be whether to propose building a one story or two story building. School Board Minutes: Independent School District #2908 7:00 pm, June 19, 2017 Evansville Senior Center
https://www.b-e.k12.mn.us//site/default.aspx?PageType=2&PageModuleInstanceID=163&ViewID=d23c305b-e295-4186-9257-b05a61f233d9&RenderLoc=0&FlexDataID=0&Filter=JobTitle%3Asuperintendent
Dean Yocum Superintendent/Elementary Principal dyocum@b-e.k12.mn.us 320-524-2263 ext. 8107
https://www.b-e.k12.mn.us/domain/30 David Anderson Chairman, term expires 2020 danderson@b-e.k12.mn.us
Randy Bettermann Director, term expires 2018 rbettermann@b-e.k12.mn.us
Shane Englund Treasurer, term expires 2018 senglund@b-e.k12.mn.us
Kent Huisman Director, term expires 2020 khuisman@b-e.k12.mn.us
Carol Juul Clerk, term expires 2018 cjuul@b-e.k12.mn.us
Tim Lauthen Vice Chair, term expires 2020 tlauthen@b-e.k12.mn.us
Andy Siira Director, term expires 2020 asiira@b-e.k12.mn.us
The B-E school board was actually in contact with Schmidt prior to hiring Yocum — who has been the superintendent since July of last year.... LeSage said that when they started this fight, it felt like they were in the dark and that their efforts to push back were not effective. For example, he said a simple records request to the school district took weeks and that many phone calls and emails to the Minnesota Department of Education were not returned. "Now, we have someone that will not be passive aggressively ignored by administrators who are legally obligated to provide us with public records when they are requested," LeSage said. Outsiders weigh in on B-E school vote By Celeste Edenloff, Echo Press and Forum Communications Company on Aug 25, 2017 at 7:43 a.m
Wednesday’s referendum vote was defeated by a vote of 1,281 to 500. ...“The outcome of today’s vote was not what we were hoping see,” said B-E Superintendent Dean Yocum.“We will evaluate our options and decide how to move forward as a district to address our facility and educational needs for the future.” Updated: Brandon-Evansville school referendum fails By Celeste Edenloff, Echo Press and Forum Communications Company on Aug 30, 2017 at 9:13 p.m.
November 21, 2017 response (After Nemmers'audio recorded phone call, right?):
from: Yocum, Dean dyocum@b-e.k12.mn.us
to: Lion News lionnews00@gmail.com
date: Tue, Nov 21, 2017 at 2:08 PM
subject: Re: Chapter 13 data request - Paul Dorr's data requested & data requests for B-E CARE Committee (Citizens Acting for Responsible Education)
signed-by: b-e-k12-mn-us.20150623.gappssmtp.com
security: Standard encryption (TLS) Learn more
Attachments: Affidavit of Candidacy.pdf, BE Care Requests.docx, Campaign Finance Reports.pdf, Copperhead Consulting Records Request.pdf, Election Expenses.pdf, Payments to Warren.pdf, Warren's Signed Contract.pdf
Copperhead Consulting Records Request.pdf
BE Care Requests.docx
Election Expenses.pdf
Payments to Warren.pdf
Warren's Signed Contract.pdf
Campaign Finance Reports.pdf
Affidavit of Candidacy.pdf
Lion News: MDE's Commissioner Casselius Covers Up Illegal Searches At Lahn's Dist. 206 School? https://www.youtube.com/watch?v=ITMudENexWs
Lion News: Harassing Phone Calls From Sick Rick Lahn – District 206 School Superintendent? https://www.youtube.com/watch?v=jsRri-nbIUQ
Lion News: Harassing Phone Call & Hang Up By ISD#2769 Superintendent Moeller To Nemmers? https://www.youtube.com/watch?v=ZL75ossD3C4
Lion News: Harassing Phone Call By ISD #2769 Morris School Board Chair Metzger To Nemmers? https://www.youtube.com/watch?v=stYnOHBhb1w
Lion News: ISD #2769 Board Wulf's Receptionist More Concerned About Supt. Moeller Misconduct? https://www.youtube.com/watch?v=Kiga1pLNtlk
Lion News: Nemmers Informs ISD 719 That ISD 709 Supt. Bill Gronseth Is A Common Criminal? https://www.youtube.com/watch?v=SYea62By0zY
Lion News: Criminal Complaint For ISD 709 Superintendent Bill Gronseth? DPD Phone Call No. 2? https://www.youtube.com/watch?v=-MEGZQx6v3c
Lion News: Nemmers Informs ISD 719 Of Criminal Complaint Against ISD 709 Supt. Bill Gronseth? https://www.youtube.com/watch?v=cRP-9jBZXcI
Lion News: Criminal Complaint For ISD 709 Superintendent Bill Gronseth? DPD Phone Call No. 1? https://www.youtube.com/watch?v=ZjWf3iVH21U
Lion News: Nemmers Informs ISD 719 That ISD 709 Supt. Bill Gronseth Is A Common Criminal? P2 https://www.youtube.com/watch?v=gH764zHQs_w
More to come . . .
Related links:
Stillwater School District ISD# 834 Searching Lion News For Dirt On Sick Rick Lahn, Superintendent & Common Criminal, Aren't They? Actaully, ISD# 834 Is Trying To Ignore It As Hard As They Can, Aren't They? Hibbing School Lurking & Skulking? Thomas Lehmann, City Attorney ( Mendota & Lilydale ) / ISD# 834 School Board Chair (651-351-2133) Sends Harassing Email & Hangs Up On Nemmers? Lehmann Trying To Rig Superintendent Selection For "Sick" Rick Lahn? Update: Guilty Conscience Brings Board Member Stan Wulf Back Over And Over Again To Lion News?
Sick Rick Lahn District 206 Superintendent & Harrassing Phone Caller Forced To Resign? Nemmers Predicted The Resignation, Didn't He? The Final Virtual Kick In The Nuts For Sicko Lahn, Right?
District 206 School's Dirty Little Secrets? Amy Sack, Assistant Principal Forced To Resign Effective August 1, 2014? (Resignation In Lieu Of Prosecution, Right??) Superintendent Sick Rick Lahn's So-Called Personal Leave Prelude To Resignation? (Resignation In Lieu Of Prosecution, Right??) Lahn's & Sack's Criminal Acts Of Illegal Searches, Harassment, And Illegally Withheld/Destroyed Evidence The Cause? Another Virtual Kick In The Nuts For Sicko Lahn, Right?
Sick Rick Lahn District 206 Superintendent, The Harassing Phone Caller, Gets Reported To Dept. Of Education? Commissioner Cassellius Given Evidence Principal Sack Destroyed Surveillance Video Of Illegal Search Of Student Greg Brunner's Vehicle? Lahn's Virtual Kick In The Nuts, Right?
Douglas County Parents: Are Your Children Safe? District 206 Students Interrogated? Another Facebook Fiasco In The Works? Nemmers Victim Of District's Harassing Phone Calls, Third Degree, And Diabolical Data Dodging Scam? School Indoctrinates Students Into Thinking That Administration And District's Legal Counsel Are About The Law?
Monday, November 20, 2017
Corrupt City Of Two Harbors Chief Of Police Kevin Rubert & Corrupt City Attorney Steven Overom Forced To Cough Up ICR: 17260081? Will Nemmers' Criminal Complaint Versus Now Former Lake County Attorney/Special Assistant Itasca County Attorney Laura Auron - Corrupt Lake County Attorney/Special Assistant Itasca County Attorney Russ Conrow & Corrupt Lake County Sheriff Carey Johnson ICR: 17260081 Toss A Monkey Wrench Into Itasca Co. Sheriff Vic "Good Ol' Boy #2" Williams' Felony Co-Conspirator Itasca Co Administrative Officer Anna Marie Cass' Rigged Case No. 31-CR-17-2802? Inquiring Minds Want To Know, Don't They? Statute Of Limitations Coming Up Fast For Corrupt Sheriff Vic Williams, Right? IPS 136.234.38.253 & 136.234.38.53 = Lake County Lurking & Skulking, Right? FYI: ICR Not In Requested Searchable PDF Format, Is It?
from: Aurora Kothe akothe@makiandoverom.com
to: "lionnews00@gmail.com" lionnews00@gmail.com
cc: Steve Overom soverom@makiandoverom.com,
Chelsea Helmer chelmer@makiandoverom.com
date: Mon, Nov 20, 2017 at 12:36 PM
subject: Correspondence Copy - Two Harbors Data Practices Request
mailed-by: makiandoverom.com
signed-by: makiandoverom.onmicrosoft.com
security: smtproutes.com did not encrypt this message Learn more
: Important according to our magic sauce.
Hello,
Attached please find a copy of correspondence from Attorney Steven Overom regarding your data practices request.
Should you have any questions or concerns, please do not hesitate to contact our office.
Thank you.
Aurora D. Kothe
Legal Assistant
Maki & Overom, Ltd.
31 West Superior Street, Suite 402
Duluth, MN 55802
(218) 726-0805, ext. 119
**Confidentiality Notice and IRS Disclosure This email message and any attachments may contain privileged or confidential information that is intended only for the use of the recipient(s) named above. If you have received this message in error, please notify us immediately and destroy the message. Any tax advice contained in this message and any attachments may not be used to avoid federal tax-related penalties or to promote, market or recommend any tax-related matter. Warning: Although Maki & Overom has taken reasonable precautions to ensure no viruses are present in this email, Maki & Overom cannot accept responsibility for any loss or damage arising from the use of this email or attachments.**
from: Kevin Ruberg Kevin.Ruberg@co.lake.mn.us via lakecomn.onmicrosoft.com
to: Lion News lionnews00@gmail.com
date: Mon, Nov 13, 2017 at 1:54 PM
subject: RE: Criminal complaint vs Auron, Conrow and Johnson
signed-by: lakecomn.onmicrosoft.com
security: Standard encryption (TLS) Learn more
to: Lion News lionnews00@gmail.com
date: Mon, Nov 13, 2017 at 1:54 PM
subject: RE: Criminal complaint vs Auron, Conrow and Johnson
signed-by: lakecomn.onmicrosoft.com
security: Standard encryption (TLS) Learn more
Dear Mr. Nemmers,
Attached find a copy of the City of Two Harbors Data Request form. Please complete section A. on the form. Under the description of information requested just reference the documents you have previously provided. I will need this signed request prior to completing your data request. You may submit this back to me via email.
Kevin Ruberg
Chief of Police
From: Lion News [mailto:lionnews00@gmail.com]
Sent: Sunday, November 05, 2017 10:34 PM
To: Kevin Ruberg Kevin.Ruberg@co.lake.mn.us; ddanielson@wdio.com; Rich Sve Rich.Sve@co.lake.mn.us; terry.snyder@co.itasca.mn.us; awhitefoot@lcnewschronicle.com; ljohnson@isd316.org; Elizabeth Arendt barendt@grandrapidsheraldreview.net; bud@grandmn.com; janelle@twoharborschamber.com; dwalker@twoharborsmn.gov
Subject: Criminal complaint vs Auron, Conrow and Johnson
Kevin Ruberg, Two Harbors Chief of Police (218) 834-5566/(218) 834-8822:
Attached find a copy of the City of Two Harbors Data Request form. Please complete section A. on the form. Under the description of information requested just reference the documents you have previously provided. I will need this signed request prior to completing your data request. You may submit this back to me via email.
Kevin Ruberg
Chief of Police
From: Lion News [mailto:lionnews00@gmail.com]
Sent: Sunday, November 05, 2017 10:34 PM
To: Kevin Ruberg Kevin.Ruberg@co.lake.mn.us; ddanielson@wdio.com; Rich Sve Rich.Sve@co.lake.mn.us; terry.snyder@co.itasca.mn.us; awhitefoot@lcnewschronicle.com; ljohnson@isd316.org; Elizabeth Arendt barendt@grandrapidsheraldreview.net; bud@grandmn.com; janelle@twoharborschamber.com; dwalker@twoharborsmn.gov
Subject: Criminal complaint vs Auron, Conrow and Johnson
Kevin Ruberg, Two Harbors Chief of Police (218) 834-5566/(218) 834-8822:
Attachment: Data Request Form.doc
Lake County IP Address = 136.234.38.253
Lake County IP Address = 136.234.38.53
More to come . . .
Related links:
Will Nemmers' Criminal Complaint Versus Now Former Lake County Attorney/Special Assistant Itasca County Attorney Laura Auron - Corrupt Lake County Attorney/Special Assistant Itasca County Attorney Russ Conrow & Corrupt Lake County Sheriff Carey Johnson Toss A Monkey Wrench Into Itasca Co. Sheriff Vic "Good Ol' Boy #2" Williams' Felony Co-Conspirator Itasca Co Administrative Officer Anna Marie Cass' Rigged Case No. 31-CR-17-2802?
Corrupt Special Itasca Co. Prosecutor/Lake Co. Attorney Russ Conrow Files Case No. 31-CR-17-2802 State Of Minnesota vs Anna Marie Cass But No Felony Charges Against Instigator Sheriff Vic Williams? Where Oh Where Are The Felony Conspiracy Charges, Huh? Maybe Nemmers' Email Will Inspire Conrow To File The Felony Charges Against Vic?
Corrupt Itasca Co Sheriff Vic Williams Admits To Ordering Itasca County Personnel To Engage In 626A.02.1(a) Felony Level Intercept Wire/Elect/Oral Communications In Case No. 31-CR-15-571 State Of Minnesota VS Itasca Co Sheriff's Administration Anna Marie Cass? Corrupt Lake Co Attorney Russ Conrow Trying To Run Out 3 Year Felony Statute Of Limitations (11/24/2014) For His Good Ol' Boy Buddy Sheriff Vic? Chapter 13 Data Request To Itasca Resource Director Lynn Hart?
Did You Know That Corrupt Itasca Co Sheriff Vic "Good Ol' Boy #2" Williams Is Being Investigated By The FBI? According To A17-0529, Right? Appeal From Itasca Co Lt Bliss VS. County of Itasca Case No. 31-CV-16-3257, Right?
Update On: Itasca Co. Sheriff Vic Williams Tampering With Witnesses In Case No. 31-CR-15-571 State Of Minnesota VS (TRIAD/SALT Treasurer) Itasca Co. Admin. Records Anna Marie Cass (Vic's & Chief Judge LeDuc's "Girl Friday", Right?) Lake Co. Attorney Laura M. Auron ( And Lake Co. Sheriff Carey Johnson, Right?) Caught Illegally Withholding Readily Available Free Electronic Public Data? How Can Lake Co.'s Auron Be Trusted To Investigate And Prosecute "Good Ol Boy #2" Williams If She Can't Be Trusted To Fulfill A Simple Data Request Without Breaking The Law, Huh? Lake Co. Sheriff Carey Johnson Is Doing An Imaginary Investigation Into Itasca Co. Sheriff Vic Williams' Tampering With Witnesses, Isn't He? He Is, Isn't He?
Is Corrupt Itasca Co Sheriff Vic "Good Ol' Boy #2" Williams Sad That John Richard Lom Had His Felony Drive By Shooting Case Dismissed (Case No. 36-CR-15-575)? If Case No. 36-CR-15-575 Is Really Dismissed, Then Why Does It Still Say "Open" & "Pending Disposition," Huh? To Continue To Smear Lom's Good Name, Right? Sounds Just Like Case No. 43-CR-14-715 - Dismissed - State Of Minnesota VS Heather Swantek, Doesn't It? Just More Proof That There Is No Justice In The Corrupt Courts Of Minnesota? Koochiching Co. Sheriff Perryn Hedlund & Co. Attorney Jeff Naglosky Illegally Send Nemmers Confidential Investigative Data For Lom's Active Case 36-CR-15-575, But Still Illegally Withholding Public Data For Leach's Closed Cases - Case No. 36-CR-09-736 & Case No. 36-K0-97-000555? Leach Assaulted Lom's Wife, Belita At Northome Municipal Liquor Store (Case No. 36-CR-15-570), Didn't He?
Itasca Co. Sheriff Vic Williams Tampering With Witnesses In Case No. 31-CR-15-571 State Of Minnesota VS (TRIAD/SALT Treasurer) Itasca Co. Admin. Records Anna Marie Cass (Vic's & Chief Judge LeDuc's "Girl Friday", Right?) Lake Co. Attorney Laura M. Auron ( And Lake Co. Sheriff Carey Johnson, Right?) Caught Illegally Withholding Readily Available Free Electronic Public Data? How Can Lake Co.'s Auron Be Trusted To Investigate And Prosecute "Good Ol Boy #2" Williams If She Can't Be Trusted To Fulfill A Simple Data Request Without Breaking The Law, Huh?
Chapter 13 Data Request - Criminal Investigative Data For Case Rigged By Itasca Co. Sheriff Vic Williams For (TRIAD/SALT Treasurer) Itasca Co. Admin./Records Anna Marie Cass? Case No. 31-CR-15-571 State Of Minnesota VS Anna Marie Cass? Incriminating News Dumped Into Friday's Blackhole Of Forgetfulness? Minnesota Sheriff's Association (MSA) A Criminal Operation? SALT/TRIAD Fronts For MSA's Criminal Operation? MSA Conspiring With Good Ol Boy Vic To Harass And Intimidate John Lom With Threats Of Malicious Prosecution? Corrupt City Of Grand Rapids Police Chief Scott Johnson - What Is The Status Of My Criminal Complaint Against Corrupt Itasca Co. Sheriff Vic Williams & Itasca Co. Administrator Trish (Klein) Harren? Hmm? Inquiring Minds Want To Know, Don't They?
Minnesota Sheriff's Association "Lawyers Up" After MSA'S (Unlicensed?) Lawyer Richard Hodsdon Sends Incriminating Email? Hodsdon Has Aided & Abetted Washington Co. Sheriff Hutton In The Illegal Withholding Of Free Electronic Data, Hasn't He? $5,031.00 Subscription For Lexipol? Did MSA Teach Otter Tail Co. Sheriff Brian Schlueter How To Commit Data Practice Crimes? Sheriff Brian Schlueter Making Wild & Outrageous Claims Nemmers Has To Get Copyright Waiver For Free Electronic Lexipol Policy Manual, Isn't He? Adam Harringa Of Fergus Falls Daily Journal Will Be Dumb Lap Dog Media That Won't Bark About This Data Dodge Either, Won't He?
Lion News: Washington County Attorney Pete Orput Rigs Trial For Druggie Deputy Ricky Gruber?
Will Washington County Attorney Pete Orput Rig High-Profile Murder Case For Byron Smith (Case No. 49-CR-12-1882) Like He Did For High-Profile Drug Case Of Washington Co. Deputy Ricky Harry Gruber (Case No. 82-CR-13-789)? Sheriff William Hutton & Orput Retaliate Against Nemmers By Illegally Withholding Deputy Gruber's Public Data? Morrison County Sheriff Michel Wetzel Tries To Defraud Nemmers Out Of $85.00? Wetzel Complaint Filed!
Washington Co. Court Staff Too Busy Watching Lion News To Process Data Request For the Rigged Trial Of Washington Co. Druggie Deputy Ricky Harry Gruber - Case No. 82-CR-13-789?
Sheriff Hutton Illegally Withholding Public Data On Druggie Deputy Gruber - Sweetheart Deal For Gruber At Rigged Trial? Conflict Of Interest With Washington Co. Attorney Pete Orput As Prostituting Attorney?
Itasca Co. Sheriff Vic "Good Ol' Boy #2" Williams Sends John Lom Threatening / Harassing / Illegal Demand Letter For Gun Permit? No Surprise, Right? Williams Trying To Incite Lom To Violence? Retaliation For Lom's Lawsuit Case No. 31-CV-14-3366? Or Retaliation For Nemmers Looking Into Richard Leroy Leach III's Assault On Lom's Wife, Belita At Northome Municipal Liquor Store (Case No. 36-CR-15-570)? Leach Banned From Northome Municpal Prior To Assault? Vic Is Still Mad About John Richard Lom Of Lawless Itasca County - Acquitted Of Obstructing Legal Process, A Felony ( Not Guilty ) - Case No. 31-CR-13-137, Isn't He? Lom Accused Of Shooting Up Vehicle With Illegally Switched VIN Numbers? Koochiching Co. Sheriff Perryn Hedlund & Co. Attorney Jeff Naglosky Illegally Send Nemmers Confidential Investigative Data For Lom's Active Case 36-CR-15-575, But Illegally Withhold Public Data For Leach's Closed Cases - Case No. 36-CR-09-736 & Case No. 36-K0-97-000555? Vic Slanders Lom By Saying Lom Is Anti-LEO in Confidential Documents?
Friday, November 10, 2017
Pope Co. Sheriff Timmy "The Perjurer" Riley's Thug Deputy Klassen Caught On Video Refusing Dean Swerman An Attorney? Thug Deputy Bryan Klassen Threatening To Break Swerman's Expensive Cellphone Not Once But Twice? All Caught On Video, Audio & Transcript? It's Rigged Case No. 61-CR-17-301 & ICR# 17003195, Isn't It?
Lion News: Swerman Denied Attorney & Threats To Have Cellphone Destroyed By Deputy Klassen?
https://twitter.com/Lion__News/status/929043730480238592 Lion News @Lion__News FYI #SwermanScandal: Lion News: Swerman Denied Attorney & Threats To Have Cellphone Destroyed By Deputy Klassen? 61-CR-17-301 & ICR 17003195 show suspect Dean Lee Swerman denied attorney & shows threats made to enable illegal search of Swerman's cellphone? https://www.youtube.com/watch?v=hEh8poPCgUM 9:51 AM - 10 Nov 2017
https://twitter.com/Lion__News/status/928989315681497088 Lion News @Lion__News FYI #SwermanScandal: Dean Lee Swerman has stated he fears retaliation from Pope Co Attorney Neil Nelson if he files a complaint against deputy Bryan Klassen, hasn't he? 61-CR-17-301& ICR 17003195. You can't trust any arrest prosecution or conviction in lawless Pope Co, can you? 6:14 AM - 10 Nov 2017 1 Retweet 1 Like Cheryl Nagel 0 replies 1 retweet 1 like
https://twitter.com/Lion__News/status/928970371620995072 Lion News @Lion__News FYI #SwermanScandal: Pope Co Sheriff Timmy "The Perjurer" Riley's thug deputy Bryan Klassen threatening to destroy Dean Lee Swerman's cellphone on 8-11-17 in rigged case 61-CR-17-301? ICR 17003195. You can't trust any arrest prosecution or conviction in lawless Pope Co, can you? 4:59 AM - 10 Nov 2017
https://twitter.com/Lion__News/status/928970083925344258 Lion News @Lion__News FYI #SwermanScandal: Pope Co Sheriff Timmy "The Perjurer" Riley's thug deputy Bryan Klassen threatening to break Dean Lee Swerman's cellphone on 8-11-17 in rigged case# 61-CR-17-301? ICR# 17003195. You can't trust any arrest prosecution or conviction in lawless Pope Co, can you? 4:58 AM - 10 Nov 2017
https://twitter.com/Lion__News/status/928824558676729856 Lion News @Lion__News FYI #SwermanScandal: Pope Co Sheriff Timmy "The Perjurer" Riley's thug deputy Bryan Klassen caught in the act of denying Dean Lee Swerman an attorney on 8-11-17 in rigged 61-CR-17-301? You can't trust any arrest prosecution or conviction in lawless Pope Co, can you? ICR 17003195 7:20 PM - 9 Nov 2017
ICR: 17003195 – MN0610000, Supplemental Report, Title: DLS statement, Date: 08-11-2017, Q: Deputy Bryan Klassen, A: Dean Lee Swerman.
Q: Okay. All right, so Dean, like I told you since we’re sitting a, sitting in here, you’re in handcuff, um, you’re not free to leave, a this is being recorded. You have the right to talk to an attorney and have him present with you while you’re being questioned. If you cannot afford to hire an attorney, one will be appointed to represent you without cost before any questioning if you wish. You can decide at any time to exercise these rights and not answer any statements. You can decided at any time to exercise these rights and not answer any questions or make any statement. Do you understand that?
A: Mhh
Q: Is that a yes?
A: Yes. ...
Q: So this is the only phone that you would communicate with? Okay. Is there a password on the phone?
A: Yes.
Q: Okay. Can I have that?
A: No.
Q: No?
A: Not till I talk to my attorney.
Q: Okay.
A: A attorney.
Q: Okay. So here’s what I would like to do. Um. I need to, oh there it is. Okay. I’m going to place it in airport mode is what I did, just so you’re aware of that. Um, and then I’m going to turn it off so it doesn’t ring. So this is gonna end up staying with me. Okay? Just so you’re aware of that. Um, we’ll be drafting a search warrant for it so the I asked you for the password is then we don’t have to destroy the cell phone to get the data off of it. Otherwise we gotta, in no less terms, or no better terms, break it in order to get the card out of there to need to do that. A: Well can I have an attorney in here right now?
Q: I, it’s Friday night so more than likely not. Um, so that’s where that’s at. Um, ...
Q: Do you want to give me the password?
A; Yea, just open it up.
Q: You understand you have the right to refuse that, right?
A: Well, I’m not getting an attorney anyways so.
More to come . . .
Related links:
Nemmers Victim Of Home Invasion On June 2, 2017? Home Invader Bigamist Kathleen Mayer/Cummings/Tangen Caught On Audio & Video Yet Magically & Mysteriously Not Arrested Nor Prosecuted? Public Defender Pretend Husband Neil Tangen & Kathy Stole $1304 From Nemmers Previously, Didn't They? Oh Neil Lied To BCA In Suspicous Death Investigation For His Previous Wife, Didn't He? Let's Ask Unaccountable & Nontransparent Special Operations Training Association Of The Upper Midwest (SOTA) About Their Willful Refusal To Provide Non-Profit Data & Ask Why Their Board Member/West Central SWAT Commander/Psycho Pope Co. Chief Deputy Nathan Brecht Is Harassing Nemmers & Not Jailing Bigamist/Home Invader Kathy?
Hey Let's Put The Non-Profit Special Operations Training Association Of The Upper Midwest (SOTA) Under The Microscope, Okay? We'll See How Transparent & Accountable They Are, Right? FYI: Pope Co.'s Psycho Chief Deputy Nathan Brecht Is A Board Member, Isn't He? Reasonable Suspicion Is Not Transparent & Not Accountable, Right?
Rigged Yellow Medicine Co Prosecution For Minnesota Department Of Corrections Sentencing To Service Crew Leader (For Yellow Medicine Co., Right?) Michael John Martin - Case No. 87-CR-17-264? Hey Let's Ask For That Illegally Withheld Andrew Dikken & Kelly Jean Anderson Data, Okay?
Update: HowTo Counter A Malicious SLAPP Suit? Nemmers Filed Criminal Complaint Against KiloMarie Granda (A.K.A KilioMarie Dunn) Founder Of Unspoken Voices Chartered/Vice-Chair MNCASA/Change Network Cohort & Her Same Sex Partner/Corrupt Cop Morris Police Officer Anita Liebl, Didn't He? Granda's Perjured "Hacked Into" Smear Used By Another Copy-Cat "Psycho"? Granda & Liebl Built So-Called Charity On Foundation Of Perjury & False Accusations & Terrorizing Nemmers & His Family, Right?? Granda & Liebl Are Domestic Terrorists, Aren't They? Corrupt Stevens County Attorney Aaron Jordan Quickly Blasts Off Retaliatory "Go To Hell!" Letter, Doesn't He, He Does, Doesn't He?
HowTo Counter A Malicious SLAPP Suit? Nemmers Files Criminal Complaint Against KiloMarie Granda (A.K.A KilioMarie Dunn) Founder Of Unspoken Voices Chartered/Vice-Chair MNCASA/Change Network Cohort & Her Same Sex Partner/Corrupt Cop Morris Police Officer Anita Liebl? Granda's Perjured "Hacked Into" Smear Used By Another Copy-Cat "Psycho"? Granda & Liebl Built So-Called Charity On Foundation Of Perjury & False Accusations & Terrorizing Nemmers & His Family? Granda & Liebl Are Domestic Terrorists, Aren't They?
Charities Complaint VS. KiloMarie Granda (A.K.A KilioMarie Dunn) Founder Of Unspoken Voices Chartered & Her Same Sex Partner/Corrupt Cop Morris Police Officer Anita Liebl? Malicious SLAPP Suit By Granda And Partner In Crime Liebl Desperate Attempt To Discredit/Slander Nemmers? Mn Police Officer Standards & Training Board Notified Of Pope Co. Sheriff Timmy “The Perjurer” Riley's, Pope Co. Chief Deputy Nathan “The Psycho” Brecht's & Morris Police Chief Ross Tiegs' Illegal Withholding Of Public Data? Glenwood Police Chief Dale "The Falsifier" Danter Reported For Not Taking Complaint Against Psycho Brecht?
Update On Charities Complaint VS. KiloMarie Granda (A.K.A KilioMarie Dunn) Founder Of Unspoken Voices Chartered & Her Same Sex Partner/Corrupt Cop Morris Police Officer Anita Liebl? Update On: Malicious SLAPP Suit By Granda And Partner In Crime Liebl Desperate Attempt To Discredit/Slander Nemmers? Update On: Mn Police Officer Standards & Training Board Notified Of Pope Co. Sheriff Timmy “The Perjurer” Riley's, Pope Co. Chief Deputy Nathan “The Psycho” Brecht's & Morris Police Chief Ross Tiegs' Illegal Withholding Of Public Data? Update On: Glenwood Police Chief Dale "The Falsifier" Danter Reported For Not Taking Complaint Against Psycho Brecht?
Subscribe to:
Comments (Atom)






































